Documentos entregados en la transición de gobierno
En cumplimiento del principio de transparencia y continuidad institucional, la Intendencia de Río Negro pone a disposición pública los documentos que integraron el proceso de transición entre la administración saliente y el gobierno encabezado por el intendente Arq. Guillermo Levratto, realizado entre mayo y julio de 2025.
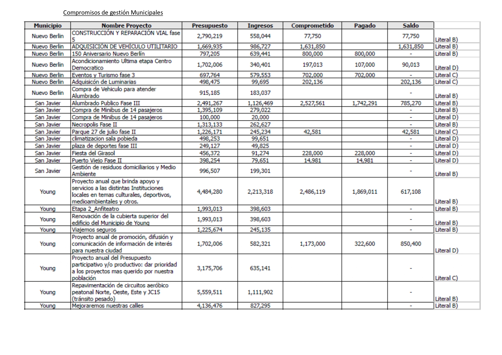
Estos materiales fueron entregados oficialmente por el equipo del gobierno anterior y constituyen la base documental recibida al asumir la nueva administración. Incluyen informes, diagnósticos y planes estratégicos que reflejan el estado de situación institucional al momento del traspaso de mando.
El acceso público a esta información forma parte del compromiso asumido por el actual gobierno departamental de garantizar transparencia, rendición de cuentas y memoria institucional, permitiendo a la ciudadanía conocer los antecedentes administrativos, financieros y programáticos sobre los cuales comenzó el nuevo período de gestión (2025–2030).
Por razones de protección de datos personales, y en cumplimiento de la normativa vigente, no se incluyen los documentos ni las planillas que contienen información identificable de funcionarios y funcionarias, tales como nombres, cargos o salarios.











